아이지에이웍스 모바일인덱스 ‘2025년 모바일인덱스 트렌드 리포트’
- “경기침체에도 시장을 뒤흔든 강자들”
데이터플랫폼 기업 아이지에이웍스가 자사 데이터 분석 솔루션을 활용해 작성한 모바일인덱스 <2025년 모바일인덱스 트렌드 리포트>를 공개했습니다. 이번 보고서는 아이지에이웍스의 독자적인 AI 기반 데이터 분석 기술인 SCI(Synthetic Customer Intelligence)를 활용해 산출된 분석 결과가 반영되어 있습니다. SCI는 모바일 사용성 데이터, 카드 결제 데이터, 기타 고객 행동 데이터 등 서로 분산된 데이터를 AI가 정교하게 연결하고 분석해 유의미한 인사이트를 도출하는 방식입니다.
본 보고서는 AI가 분석한 디바이스 단위의 추정치가 반영되어 있으며, 실제 수치 및 타 조사기관의 자료와 차이가 있을 수 있습니다. 모바일 데이터는 안드로이드 및 iOS 통합 분석 기준 데이터가 활용됐습니다.
※ 해당 데이터는 신용·체크카드 추정 결제 금액 데이터로, 이외 결제 데이터는 포함하지 않으며 실제 매출과는 무관합니다.
1. 2024년 1분기 대비 2025년 1분기 업종별 카드결제 금액 증감율
• 카드 결제 데이터로 바라보는 ‘경기 침체’
• 명품·온라인쇼핑·식료품 등 주요 업종 결제액 ‘빨간불’
▶
2. ‘온라인 쇼핑’ 업종 주요 10개 기업 월간 카드 결제 금액 추이
• ‘쿠팡 효과’ 뒤에 숨은 온라인쇼핑 업종 경기침체
• 쿠팡 거래액 시장의 절반 이상, 나머지 기업 하락세 뚜렷
3. ‘온라인 쇼핑’ 업종 주요 10개 기업 월간 카드 결제 금액 점유율 및 재구매율
• 쿠팡, 점유율도 재구매율도 ‘압도적’
• 경제침체가 만들어낸 1등 쏠림, 경쟁사와의 격차 심화
4. ‘뷰티/헬스케어’ 업종 월간 카드 결제 금액 추이
• 올리브영 독주 체제... ‘절대 강자’의 탄생
• ‘뷰티/헬스케어’ 매출 성장처럼 보여도, 올리브영 빼면 하락세
5. 올리브영 앱 사용자 수 점유율 및 업종 내 연령별 앱 순위
• “모든 세대가 올리브영” 모바일 점유율 독보적
• 모바일 이용자까지... 경쟁사 격차 더 벌어져
6. 배달/픽업 업종 주요 기업 월간 카드 결제 금액 추이
• 쿠팡이츠 혼자 성장세, 배달 업종 ‘착시 성장’
• 배달시장 전반은 주춤, 오직 쿠팡이츠만이 반등
7. 배달의민족, 쿠팡이츠 앱 신규 설치 건수 및 신규 설치 건 삭제율
• 위기 속 부상하는 쿠팡이츠, ‘강자’의 판 바뀔까
• 신규 설치·삭제율 모두 ‘쿠팡이츠’ 우위... 브랜드 쏠림 가속
▶
• 변화가 만든 새로운 기회
※ 뉴노멀: 시대 변화에 따라 새롭게 떠오르는 기준 또는 표준
8. ‘명품’, ‘가성비’ 기업 월간 카드 결제 금액 추이
• 가치소비의 역전 – 명품은 식고 ‘가성비’ 떴다
• 고가 소비의 열기는 식고, 가성비·실속형 쇼핑카트만 더 불어난다
9. 다이소 앱 월간 사용자 수 및 카드 결제 객단가, 재구매율 비교
• 가성비 트렌드의 주인공은 다이소
• 다이소, 합리적인 소비 열풍에 새로운 시장의 강자로 떠오르다
10. 영화관 월간 카드 결제 금액 추이
• ‘스크린’의 시대가 저문다, 변화하는 소비의 신호
• 영화관 침체와 함께 월간 결제자 큰 폭으로 감소중
11. 영화관 앱 대비 OTT 앱 월간 사용자 수
• 영화관 앱 사용자 ‘넷플릭스’ 반도 안 된다
• 25년 3월 영화관 앱 사용자 다 합쳐도 549만 명에 불과
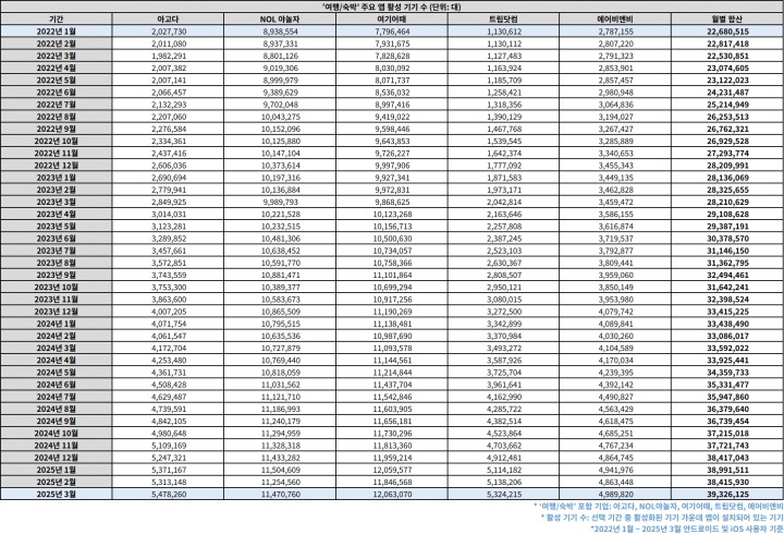
12. ‘여행/숙박’ 업종 월간 카드 결제 금액 추이 및 앱 활성 기기 수
• 다른 건 줄여도, 여행은 포기 못 해
• 경기침체 속에도 ‘나를 위한 소비’, 새로운 생활 영역으로 자리잡다
13. 대한항공, 스카이스캐너, 인천공항 스마트패스 앱 월간 사용자 수
• 여행 수요, 데이터가 말한다
• 여행 앱 사용자 수, 여행의 일상화와 함께 꾸준히 확장 중
| 이명규 기자 sawual@ruliweb.com |





























